Printable Sample Of A Single Member Llc Operating Agreement You re ready to form a Single Member LLC and you want to define its business terms You ve already formed a Single Member LLC but don t yet have an operating agreement Sample Single Member LLC Operating Agreement The terms in your document will update based on the information you provide
Prepared by Member FirstName Member LastName Member Company While most US states don t require single member LLCs to have an operating agreement in place you may still draft one using this template to protect the owner from liability Use our LLC Operating Agreement template to identify your business as a limited liability company and establish how it will operate Create Document Updated July 25 2023 Legally reviewed by Brooke Davis
Printable Sample Of A Single Member Llc Operating Agreement
Printable Sample Of A Single Member Llc Operating Agreement
https://www.heritagechristiancollege.com/wp-content/uploads/2019/04/llc-operating-agreement-template-free-of-2018-llc-operating-agreement-template-fillable-of-llc-operating-agreement-template-free-1.png
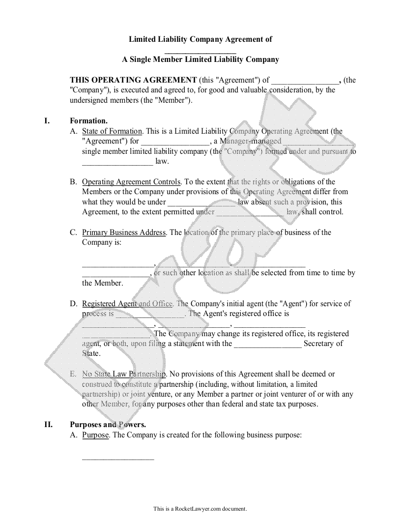
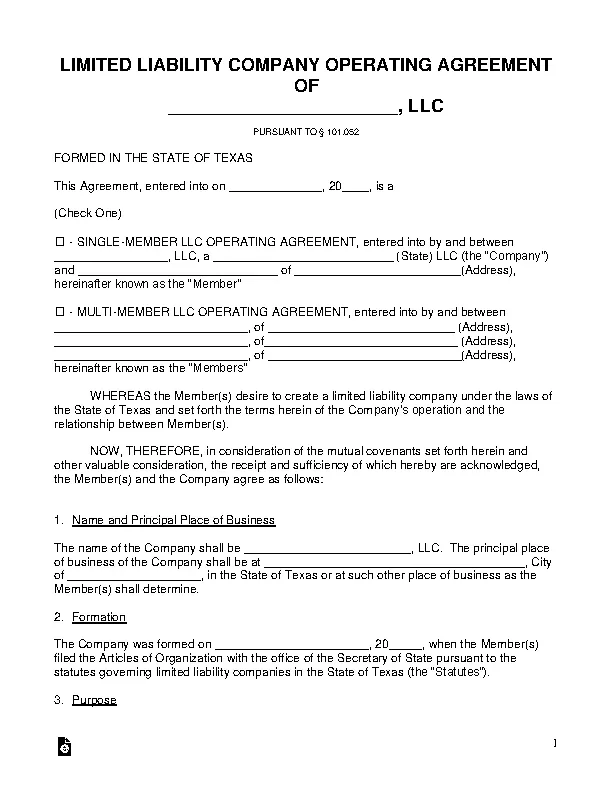
Updated on July 5th 2022 A single member LLC operating agreement is a form used for recording the details of a newly formed limited liability company with one 1 member From how it s financed to the rules for adding a new member the form contains a number of fundamental provisions that outline the governance of the organization
Templates are pre-designed documents or files that can be utilized for numerous functions. They can conserve time and effort by offering a ready-made format and design for producing different type of material. Templates can be used for personal or professional projects, such as resumes, invites, leaflets, newsletters, reports, discussions, and more.
Printable Sample Of A Single Member Llc Operating Agreement

Printable Single Member Llc Operating Agreement Template Free

Printable Single Member Llc Operating Agreement Template Free

Corporation Operating Agreement Template

S Corp Operating Agreement Template

Free Missouri Single Member LLC Operating Agreement Form PDF Word

Operating Agreement For Trucking Company LLC Bible

https://legaltemplates.net//single-member-llc-operating-agre…
This Agreement may be executed in one or more counterparts each of which shall be deemed an original and all of which together shall constitute one and the same document 7 Amendment This Agreement may be amended or modified only by a written agreement signed by the Member and the Company 8 Notices

https://legaltemplates.net/form/llc-operating-agreement/single-member-llc
Single Member LLC Operating Agreement Sample Below is a sample of an operating agreement for a single member LLC Click the buttons below the document to view a completed version of the contract or download a blank template

https://www.wordtemplatesonline.net/single-member-llc-operating-agree…
A Single Member LLC SMLLC Operating Agreement is written for a limited liability company having only one owner It is used as proof of the limited liability awarded to an owner by the LLC business structure where the company is taken as a separate entity from the sole owner s personal property assets

https://www.forbes.com/advisor/business/llc-operating-agreement-temp…
An LLC Operating Agreement is a legal document that details the rules and regulations of a Limited Liability Company LLC with regards to financial and functional decisions It covers

https://freeforms.com/llc-operating-agreement/single-member
Single Member LLC Operating Agreement Template Updated on July 10th 2023 A Single Member LLC Operating Agreement is a legal contract drafted for LLCs comprised of only one 1 owning individual The contents of the written arrangement serve to map out the company s structure in an official capacity Having this written
LLC Agreement Single Member 4 Members a Initial Member The Member owns 100 of the membership interests in the Company The name and the business residence or mailing address of the Member are as follows Name Address NAME OF MEMBER ADDRESS OF MEMBER b Additional Members One or more additional members Our single member LLC operating agreement template PDF was created for limited liability companies with only one member where the sole member has full control over all affairs of the LLC and no other individuals have a membership interest in the company Download Single Member LLC Template Download Form Multi Member
The Member s share of any losses and deductions of the Company 8 U S Federal State Income Tax Treatment The Member intends that the Company as a single member LLC shall be taxed as a sole proprietorship in accordance with the provisions of the Internal